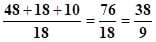
Es una fracción de tres cifras en si, Necesito allar la respuesta de: 8/3+6/6+5/9 y de 2/4+2/6+1/8
Es una fracción de tres cifras. Tengo que sacar el m.c.m y después sumar y después sacar la simplificación y ya
2 Respuestas
Respuesta de Luis Alberto Candio Salcedo
1
Respuesta de albert buscapolos Ing°

Perdón, Luis Alberto, no pensé que estabas contestando también vos.Sdos. - albert buscapolos Ing°