¿Qué pasa si mi muestra supera el numero indicado por la fórmula para determinar la muestra representativa?

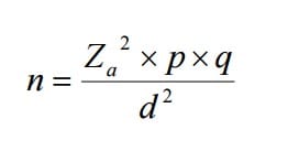
Utilice esta fórmula para un proyecto de investigación el resultado fue de 28 pero el día de aplicación del instrumento me remitieron más ¿qué debo hacer en ese caso?
1 respuesta
Respuesta
1
