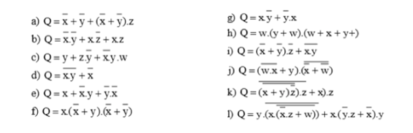
MatemáticasProfesoresÁlgebra Camila Cuéllar el 13 oct. 19 Ejercicios de Álgebra de Boole cómo es el procedimiento Quisiera saber cómo se resuelven los siguientes ejercicios de Álgebra de Boole: Seguir Siguiendo Dejar de seguir