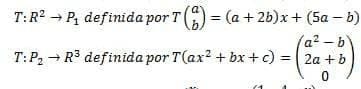
MatemáticasProfesoresÁlgebra Javier Palma el 6 ago. 19 Determine cuales de las siguientes aplicaciones son lineales, si no lo son justifique su respuesta ¿Cuál es la aplicacion lineal en la imagen y porque lo es?¿Alguna idea? Seguir Siguiendo Dejar de seguir