Mediante análisis de fuerza ( ver Fig. 2) muestre que el radio de giro en función del periodo, para un movimiento circular

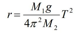
Mediante análisis de fuerza ( figura dos) demuestre que el radio de giro en función del periodo, para un movimiento circular uniforme está dado por la siguiente expresión:

En este experimento quien genera la fuerza centrípeta y como garantizar que sea constante
1 Respuesta
Respuesta de albert buscapolos Ing°
1