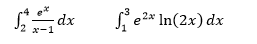
Cálculo yolanda rojas el 16 nov. 18 Desarrollar los siguientes ejercicios utilizando la Integración de Romberg Solucione los siguientes ejercicios utilizando la Integración de Romberg. Usando segmentos de longitud 1, 1/2 y 1/4. Seguir Siguiendo Dejar de seguir