Demuestre que b^(r+s)=b^(r)b^(s) si r y s son racionales
Propiedades de los números reales
Sea b>1 fijo.
Demuestre que b^(r+s)=b^(r)b^(s) si r y s son racionales
[Sea r=m/n ,s=p/q , donde m, n, p, q son enteros y n, q > 0. Observe que
]
Propiedades de los números reales
Sea b>1 fijo.
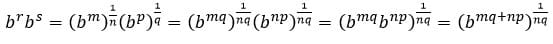
Demuestre que b^(r+s)=b^(r)b^(s) si r y s son racionales
[Sea r=m/n ,s=p/q , donde m, n, p, q son enteros y n, q > 0. Observe que
]