¿Cómo aplicar las integrales a las ciencias como en la estadística?
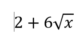
Se estima que dentro de por meses la población de cierta ciudad cambiará a una razón de

Personas por mes. Si la población actual es de 5000 personas, ¿cuál será la población dentro de 9 meses?
1 Respuesta
Respuesta de jdrg1115
2

