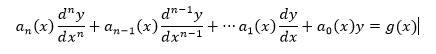
Una ecuación diferencial no homogénea de orden superior es de la forma:
Una ecuación diferencial no homogénea de orden superior es de la forma:

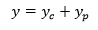
Cuya solución general se escribe como la suma de las soluciones de una ecuación homogénea y una particular.
![]()
Se determina haciendo para convertir la ecuación a una homogénea con coeficientes constantes. Esta es la llamada solución asociada y se encuentra una solución particular de la ecuación no homogénea. Esta es la llamada solución particular Dicha solución depende de la forma de la función De acuerdo a lo mencionado anteriormente la solución de la ecuación diferencial no homogénea es:

------------------------------------------------------------------------------------------------
---------------------------------------------------------------------
----------------------------------------------------------------
-----------------------------------------------------