¿Quién puede resolver estas Identidades Trigonometricas?
1. Si:
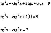
tgx + ctgx = 3;
calcular:
E = tg2x + ctg2x
a) 9 b) 8 c) 7
d) 6 e) 5
3. Hallar "x" que cumple:
2cosx tgx = 1
a) 30º b) 45º c) 60º
d) 75º e) 37º
. Hallar "x" que cumple:
tgx + ctgx = 2cscx
a) 30º b) 37º c) 45º
d) 53º e) 60º
1 Respuesta
Respuesta de Luis Alberto Candio Salcedo


