Solucionar integrales por distintos métodos
Me pueden ayudar con esto:
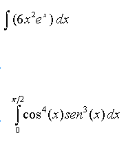
Resolver las siguientes integrales enunciando claramente la técnica o propiedad usada.

Me pueden ayudar con esto:
Resolver las siguientes integrales enunciando claramente la técnica o propiedad usada.
