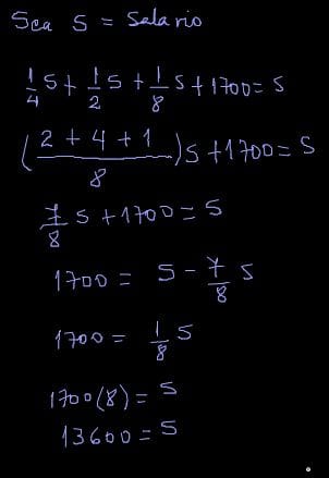
Escribe el problema, su desarrollo y la solución
En la casa de Ana, los gastos se administran de la siguiente manera:
a) La cuarta parte del salario es para alimentos y gastos de la casa.
b) La mitad de su salario es para la renta.
c) Una octava parte de su salario se gasta en sus pasatiempos.
d) Y ahorra $ 1,700.
e) ¿Cuál es el salario de Ana?
1 respuesta
Respuesta de Llaq Kmg
