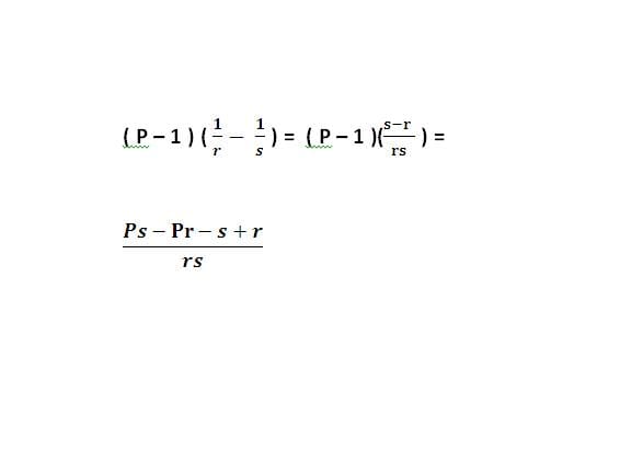
Corrección de una operación del producto de una fracción algebraica.
Estimados me asesoran si este producto esta correctamente desarrollado hasta esta parte del mismo.
Acompaño una imagen.
Gracias.

2 respuestas
Respuesta de Kvothe Orwell
1
Respuesta de Lucas m
1
