Cual es la forma correcta de simplificar
Simplificar
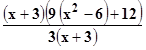
$$\begin{align}&{9(x+3)(x^2-6)+12(x+3)\over 3(x+3)}\end{align}$$
1 respuesta
Respuesta de Luis Alberto Candio Salcedo
2



