A partir de lo anterior, responde lo siguiente:a) Escribe la expresión algebraica que representa el problema.
1. Analiza el siguiente planteamiento que se divide en tres momentos, y responde las preguntas.
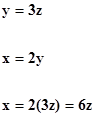
1.1 Una pareja de recién casados compró diferentes productos para su casa, gastando un total de $24,000 en una sala, un centro de entretenimiento y un reproductor de Blu-ray.
El centro de entretenimiento costó el triple del reproductor de Blu-ray, y la sala el doble de lo que el centro de entretenimiento.
A partir de lo anterior, responde lo siguiente:
a) Escribe la expresión algebraica que representa el problema.
b) Haz las operaciones necesarias para saber: ¿Cuál es el costo de cada uno de los productos?
1.2 Realizaron un primer pago en efectivo de $3,000; el resto lo pagaron con tarjeta de crédito a tres meses: de modo que el segundo pago sería el doble del primero, y el último sería el triple.
Con base en lo anterior, determina:
a) La expresión algebraica que representa los pagos que realizaron.
b) Las operaciones necesarias para la cantidad que pagaron en cada periodo.
1.3 Después decidieron pintar su sala; para saber cuánto van a invertir, deben calcular el número de galones de pintura que se requieren. Responde a lo que se te pide a continuación:
a) Si la superficie de la sala es igual a 60 m2 y sabemos que la longitud es el doble del ancho más dos ¿cuánto mide cada uno de los lados?
b) Cuando la altura de la sala es igual a x-3, ¿cuál es la ecuación que representa el volumen total de la sala y cuál es su superficie en metros?
C) En una imagen como la siguiente, incluye las expresiones algebraicas para la altura, el ancho y la longitud:
(En una imagen como la siguiente, incluye las expresiones algebraicas para la altura, el ancho y la longitud)
d) ¿Cuántos galones de pintura se necesitan para pintar las cuatro paredes y el techo si cada uno de ellos alcanza para pintar 8m2? Considera que hay una puerta que mide dos metros cuadrados y dos ventanas de un metro cuadrado cada una
e) Por último, calcula el gasto total en pintura, si cada galón tiene un costo de $105.50.




