Resuelve el siguiente problema utilizando la figura...
Geometría: Trigonometría y Circunferencia
De acuerdo con la siguiente figura

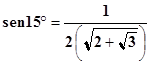
Demostrar que
$$\begin{align}&sin15°= 1/(2√(2+√3) )\end{align}$$
1 respuesta
Respuesta de Luis Alberto Candio Salcedo
1



