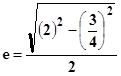
Cuál es la excentricidad de la elipse cuyos semiejes miden 3/4 y 2 unidades de longitud?
$$\begin{align}&A) \ \ \ \ e= \sqrt{{5\over8}}\\&\\&B) \ \ \ \ e= \sqrt{{5\over2}}\\&\\&C) \ \ \ e= \sqrt{{55\over8}}\\&\\&D) \ \ \ e= \sqrt{{55\over4}}\end{align}$$
1 Respuesta
Respuesta de Luis Alberto Candio Salcedo
1



