En un cuadrado de lado 3 se cortan triángulos rectángulos isósceles en cada una de sus cuatro esquinas...
Geometría
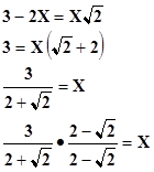
En un cuadrado de lado 3 se cortan triángulos rectángulos isósceles en cada una de sus cuatro esquinas, de tal manera que se forma un octágono regular al interior del cuadrado. Demostrar que el área de este octágono se puede expresar como
$$\begin{align}&18√2 − 18\end{align}$$
1 respuesta
Respuesta de Luis Alberto Candio Salcedo
1





