Cuales son las coordenadas del punto (x,y)
Dados los puntos P1 y P2, ¿cuáles son las coordenadas del punto P(x, y) que está colocado en la prolongación del segmento P1P2 y dista de P2 el doble que de P1
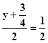
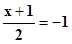
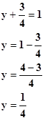
$$\begin{align}&Dados \ los \ puntos \ {P_1} \ [-1, {1\over2}] \ y \ { P_2} \ [1, \ {\ 3\over4} \\&cuales \ son \ las \ coordenadas \ de \ punto \ P(x,y) \ que \ esta \ colocado \ en \ prolongacion \ del \ \\&segmento \ P_1P_2 \ y \ dista \ de \ P2 \ el \ doble \ que \ de \ P_1?\\&\\&RESPUESTAS:\\&\\&A) \ \ p [-3, {1\over4}]\\&B) \ \ p [-1, {7\over4}]\\&C) \ \ p[{-3\over4}, {1\over16}]\\&D) \ \ p[{-1\over3}, {7\over12}]\end{align}$$
1 respuesta
Respuesta de Luis Alberto Candio Salcedo
1




