Como puedo hallar secante de alfa?
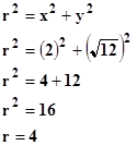
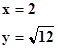
Con base en la siguiente gráfica debo hallar secante de alfa. ¿Me ayudan? Por favor. Muchas gracias

1 respuesta
Respuesta de Luis Alberto Candio Salcedo
1


