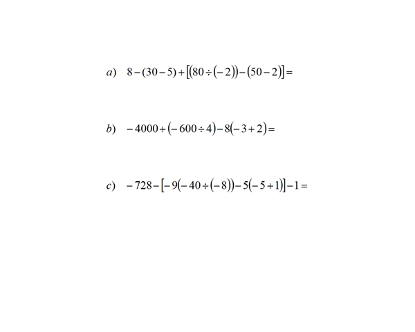
¿Cómo se hacen las siguientes operaciones matemáticas?
Me podrían ayudar con los siguientes problemas matemáticos, de antemano se los agradeceré ya que tengo que resolver muchos de estos problemas pero me interesa ver el desarrollo para entenderle más.

Muchas gracias por su apreciable atención
1 respuesta
Respuesta de Luis Alberto Candio Salcedo
1



