¿Alguien me resolvería un problema de física? Es de magnitudes y fuerzas
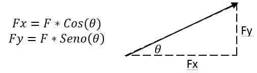
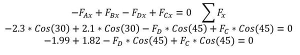
Los 4 elementos de madera que se muestran en la figura están unidos con una placa de metal y se encuentran en equilibrio sometidos a la acción de 4 fuerzas. Si FA: 2.3 KN Y FB: 2.1 KN, determine las magnitudes de las otras fuerza

¿s?
1 respuesta
Respuesta de ronald zavala







