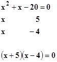
Matemáticas GATOPG . el 18 nov. 16 Tengo un problema de álgebra Seguir Siguiendo Dejar de seguir 1 Respuesta Respuesta de Luis Alberto Candio Salcedo 1 1 Luis Alberto Candio Salcedo, Profesor de Álgebra - Geometría - Trigonometría Como estas:I) Para saber si corta al eje de abscisas en un punto, se hace f(x) = y = 0Luego:x = - 5 x = 4FALSO (Corta al eje de abscisas en dos puntos) (- 5; 0) y (4; 0)II) No corta al eje de ordenadas. (FALSO)III) Para saber si corta al eje de ordenadas se hace x = 0. y = - 20 Luego: Corta al eje de coordenadas en el punto (0; - 20) VERDADERO el 18 nov. 16 - Anónimo ahora mismo Añadir comentario Usa los comentarios si quieres aportar algo a esta respuesta. No los utilices para preguntar algo nuevo. Cancelar Enviar