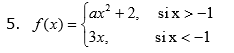
Cálculo maira pilar plazas... el 4 oct. 16 Como resolver este problema de limites de calculo diferencial Necesito ayuda por favor en este problema de limites gracias Seguir Siguiendo Dejar de seguir