Solución de un problema de Ley general de los gases
- Lee el siguiente problema
La parte interior de un neumático de automóvil está bajo una presión manométrica de 50 Pa a 12°C y un volumen de 15 litros de aire. Después de varias horas, la temperatura del aire interior sube a 300 K y su volumen aumenta un 15%.
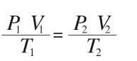
Para resolver este problema utiliza la Ley general de los gases. Recuerda que el planteamiento algebraico es:

Al aplicar las leyes de los gases, las unidades de las variables Presión y Volumen, pueden ser las que sean, siempre y cuando sean congruentes, las unidades de la Temperatura siempre deben ser Kélvines.
- Calcula la temperatura final en °C y el volumen final en litros. Integra en tu documento el procedimiento para la resolución del problema.
Para resolver la actividad recuerda:
- Primero se debe convertir la temperatura de °C a °K.
- Luego, se busca la P2, entonces al despejar y sustituir valores se obtiene el resultado.
- Responde lo siguiente: ¿Cuál es la nueva presión manométrica?
- Explica¿A qué se refiere la ley general de los gases?
1 respuesta
Respuesta de Valero Angel Serrano Mercadal
1