Corrección examen matemáticas-Representación funciones-Ejercicio 4
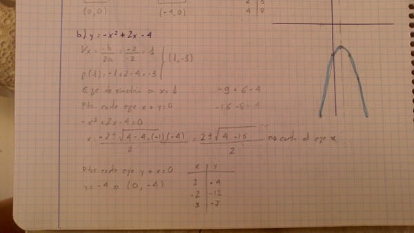
Os vuelvo a mandar el ejercicio 4 del examen de representación de funciones para ver si me lo podéis corregir. He intentado que se vea un poco mejor.
Gracias


2 respuestas
Respuesta
1
Respuesta de Valero Angel Serrano Mercadal
1
