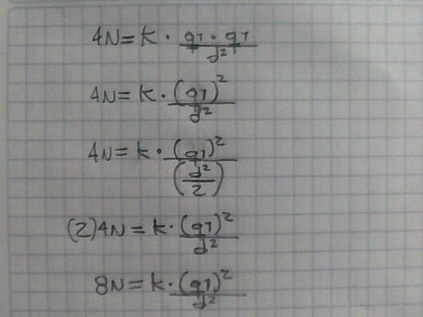
Dos esferas metálicas se atraen con una fuerza de 4 N, la distancia entre los centros de las esferas es 10 cm...
1)A partir de la información anterior se puede averiguar:
A. El signo de la carga de cada esfera
B. La magnitud de la carga de cada esfera
C. El producto de las cargas de las esferas
D. La suma total de carga de ambas esferas
2)Si se duplica la carga de cada esfera manteniendo la separación inicial, la magnitud de la fuerza entre ambas sera de:
A. 16N
B. 8 N
C. 20N
D. 2N
3)Si la distancia de separación entre las esferas se disminuye a la itad, manteniendo las cargas iniciales, la fuerza entre ellas sera de:
A. 8N
B. 20N
C. 2N
D. 16N
Bueno, en la 1) yo creo que es la B, osea que a partir de la información se puede averiguar la magnitud de las cargas, ¿aunque son iguales cierto?
En la 2) la magnitud de la fuerza es de 16N y en la 3)la magnitud de la fuerza es de 8N, yo hice los ejercicios de este modo, pero no se si esta bien o mal, gracias... Bueno se que se puede hallar el valor de la carga pero para no demorarme hice los ejercicios así:

