Apoyo con el problema de Malthus
¿Qué hacer?
1. Introducción. Lee atentamente para conocer la relación de la la aplicación del modelo de Thomas Malthus, economista inglés en 1798, y el uso de la antiderivada.
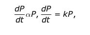
En esencia, la idea de este modelo matemático de Malthus es la hipótesis de que la tasa de crecimiento de la población sin freno de un país crece en forma proporcional y constante P(t), de ese país en cualquier momento (t en años). En otras palabras, mientras más personas haya en el momento t, habrá más personas en el futuro. En términos matemáticos, esta hipótesis se puede expresar:

Donde el símbolo ∝ (alfa) indica que ambas cantidades son proporcionales y k es esa constante de proporcionalidad. Este modelo no tiene en cuenta otros factores (por ejemplo, inmigración y emigración) que pueden influir en las poblaciones humanas, haciéndolas crecer o disminuir, pero predijo con mucha exactitud la población de Estados Unidos desde 1790 hasta 1860. La ecuación diferencial anterior aún se utiliza con mucha frecuencia para modelar poblaciones de bacterias y de animales pequeños durante cortos intervalos.
Como se mencionó una de las aplicaciones principales de la antiderivada es la solución de ecuaciones diferenciales, si nos planteamos la ecuación anterior P' (t) = kP (t) podemos ponerla en la forma de diferencial, teniendo la ecuación:
dP = kP (t) dt
Para profundizar en el principio de población de Malthus puedes estudiar el siguiente video: https://www.youtube.com/watch?v=2nWSW3SA-no
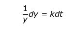
Ahora como la P es la variable dependiente podemos pensarla como solo y = P(t), de esta manera dP = dy y acomodando la ecuación anterior en términos de y nos resulta:
dy = kydt
Tenemos una igualdad entre dos diferenciales, para que cada lado tenga las mismas variables pasamos la y del lado derecho al lado izquierdo:

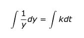
En este punto la ecuación está en forma de diferenciales y cada uno de los lados de la igualdad está en términos de una sola variable, para obtener las respectivas funciones que tienen esos diferenciales es necesario obtener su antiderivada. Integra las funciones en cada lado de la igualdad para hallar la solución de la ecuación diferencial, no olvides la constante de integración, será muy importante, es decir, calcula:

Una vez que tengas las respectivas antiderivadas en la identidad despeja la variable y para que sea una función en términos de t, debes recordar las propiedades de las funciones necesarias. Tu proceso debe conducir a esta ecuación que es el modelo de Malthus:
![]()
Donde la variable y representa la tasa de crecimiento de la población.
2. Desarrollo. Con la aplicación de la antiderivada del modelo de Malthus ahora sigue el planteamiento y resuelve lo que se indica.
Suponiendo que la población inicial que se está considerando es de 100 individuos determina el valor de C. Si tenemos que k=0.5, y con la ecuación se estima el tamaño de la población dentro de 10 años. Bosqueja una gráfica a mano.
Para su presentación, expón todo el proceso en un archivo de procesador de textos e inserta la imagen de la gráfica.



Saludos, existirá una forma de hacer ese calculo en Excel ?? - Vi sor
¡Hola Visor! Si, se puede hacer una tabla con Excel. Por ejemplo en la columna A pones los valores del 0 al 10 o el intervalo que quieras, y en la columna B pones la fórmula =100*EXP(0,5*A2) copiando esa celda a las otras. Luego seleccionas la tabla y vas a insertar gráfico y eliges dispersión con curvas suaves. En un rato estará hecho. - Valero Angel Serrano Mercadal
Gracias Valero, veo que la fórmula lleva ha formar una acintota, sin embargo las poblaciones decaen, por falta de alimento, tóxicos etc. eso es lo que explica el modelo de Thomas Malthusy eso no esta representado en la fórmula, ¿sera qué eso no es representable? - Vi sor
¡Hola Vi_sor! Todo es representable, pero este problema es de un nivel básico. Lo mismo de que todos los cuerpos caen a la vez pero si hay atmósfera sabemos que es mentira. Claro que hay modelos para explicarlo todo, pero son más complejos y escapan al nivel de estudios de los alumnos de la Prepa. - Valero Angel Serrano Mercadal
Comentario borrado por el autor - Celia Tejeda
Valero para Presidente ¡¡ jaja , le Admiro mucho¡ - Israel Medina
Comentario borrado por el autor - Anita Lopez
y cual seria la antiderivada de la ecuacion? Valero Angel Serrano Mercadal - Anita Lopez
Hola buenas noches cual seria la derivada de la ecuación - Chanel Guess
¡Hola Chanel! Si te refieres a la función P(t)=100e^(0.5t) la derivada es P'(t) = 100e^(0.5t)·0.5 = 50e^(0.5t) - Valero Angel Serrano Mercadal
Comentario borrado por el autor - Cobali Arce
¿Disculpe y si la población subió a 300? - Axel Daniel Soberano