Volumen del solido de revolución

No se si usar el método del cascaron cilíndrico, no se si esta bien aplicado, lo intente de esta manera.

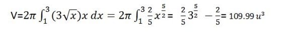
este es mi resultado, si estoy mal me pudiera corregir,gracias

1 respuesta

Respuesta
1

·

·

¡Hola Jaime!

El método de los cascarones tal como lo has escrito sería si girara larededor del eje y. Y lo que nos dicen es que gira alrededor de la recta y=2, que es una recta horizontal, luego lo más apropiado es el método de los discos.

Pero lo primero es poner el eje X en el lugar donde se gira, para ello hay que restar 2 la función superior

f(x)= 3sqrt(x)-2

y a la inferior

y=2-2=0

Y ahora aplicamos la fórmula:

$$\begin{align}&V=\pi \int_a^b([f(x)]^2-[g(x)]^2)dx\\&\\&V=\pi\int_1^3((3 \sqrt x-2)^2-0)dx=\\&\\&\pi \int_1^3(9x-12 \sqrt x+4)dx=\\&\\&\pi \left[\frac 92x^2-12·\frac 23x^{\frac 32}+4x \right]_1^3=\\&\\&\pi\left[\frac 92x^2-8x^{\frac 32}+4x \right]_1^3\\&\\&\pi\left(\frac{81}{2}-8 ·3 \sqrt 3+12-\frac 92+8-4\right)=\\&\\&\pi\left(\frac{72}{2}-24 \sqrt 3+16\right)=\\&\\&(52-24 \sqrt 3)\pi\approx 32.76926376\end{align}$$

Y eso es todo, sa lu dos.

:

:

Añade tu respuesta

Haz clic para o

Más respuestas relacionadas