¿Como resuelvo estos ejercicios de E. 2x2 en I y S?
E= Ecuación
I= Igualación
S=Sustitución
Las ecuaciones de las cuales hablo son las siguientes.
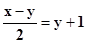
$$\begin{align}&(x+y): 2=x-1\\&\\&(x-y):2=y+1\\&\\&\\&\frac{x+1}{3}+\frac{y-1}{2}=0\\&\\&\frac{x+2y}{3}-\frac{x+y+2}{4}=0\end{align}$$
2 respuestas
Respuesta de Luis Alberto Candio Salcedo
1
Respuesta de Valero Angel Serrano Mercadal
1

