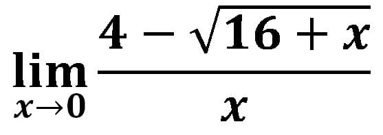
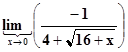
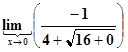
Determinar el limite cuando x = 0 de (4-√(16+x))/x
Con los datos que se adjuntan a continuación obtener el limite, cuando x=0

Respuesta de Luis Alberto Candio Salcedo
1
1 respuesta más de otro experto
Respuesta de Valero Angel Serrano Mercadal
1




