Tengo una duda sobre estos ejercicios de funciones trigonométricas




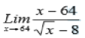
Como resolver el limite anterior, ¿conociendo qué es indeterminado?
2 respuestas
Respuesta de Valero Angel Serrano Mercadal
2
Respuesta de Luis Alberto Candio Salcedo
1




