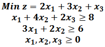
Dado el siguiente modelo matemático resolver por el método simplex “m” y calcular el valor de z:

- 1.
- 3.
- 7.
- 2.
- 5.
....------..............................---------------------------------------------------------

....------..............................---------------------------------------------------------