Alejandro Yaranga

Alejandro Yaranga

me gusta estudiar sobre la Administracion
 Perú @alejandroyaranga desde - visto
Preguntar

Actividad pública reciente

Ha valorado "Excelente" la respuesta

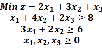
Dado el siguiente modelo matemático resuelva por el método gráfico y calcular el valor de z:

respondió: : : ¡Hola Alejandro! Esta es la gráfica, en amarillo la región factible, en negro la función objetivo y el desplazamiento de esta hasta el último vértice de la región factible que es el punto (13, 5) Y el máximo sera f(x1,x2) = 2x1+x2 = 2·13 + 5 =...
Ha preguntado en el tema en y en 1 temas más

Dado el siguiente modelo matemático resolver por el método simplex “m” y calcular el valor de z:

1.3.7.2.5. ....------..............................---------------------------------------------------------
Sin respuestas
Ha preguntado en el tema en y en 1 temas más

Resuelva el siguiente programa lineal usando el software tora y determine la solución óptima

Respuestas 260.262.5.230.320.5.250. -------------------------------------------------------------------------------
Sin respuestas
Ha valorado "Excelente" la respuesta

3. Una suma de 50.000 dólares ahora, sería equivalente a una cantidad de dinero dentro de dos años, a una TNA del 20% capitaliza

respondió: · · ¡Hola Alejandro! Hay que usar la fórmula de capitalización a interes compuesto. Si Co es el capital inicial, n el número de periodos e i la tasa de interés efectivo expresada en número (no en %) de cada uno de esos periodos, el valor final es: La...
Ha empezado a seguir a
Ha preguntado en el tema en y en 3 temas más

1. ¿Cuál es el valor actual equivalente para la siguiente serie de flujos de efectivo a una TEA del 15 %?

$ 5.849.$ 4.850.$ 6,977 .$ 6.727.$ 6,797. Http://telesup.net/campus/pluginfile.php/70246/question/questiontext/204767/3/208011/105.png

Experiencia

me gusta area de Administracion

Trabajo

  • AGRICOLA DOÑA PANCHA
    Asistente Almacén general , 2015 - actualidad

Educación

  • UNIVERSIDAD PRIVADA TELESUP
    ADMINISTRACION , 2012