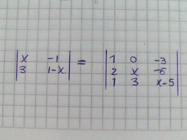
Determinantes: encontrar x que pertenezca a los reales que satisfaga que : el det de esta matriz sea = al de la otra.

Bueno hice el ejercicio pero me sale una ecuaciòn cuadràtica y al resolverla por la fòrmula general no me salen numeros enteros, creo que tengo mal el ejercicio, ayuda por favor.

1 respuesta
Respuesta de Valero Angel Serrano Mercadal
1