Resolver la siguiente integral definida
Requiero de resolver la siguiente integral definida entre los puntos dados, se supone que hay que resolverla con la aplicación de métodos de integración (1a parte) y, encuentra su valor según lo intervalos dados,

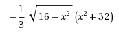
la primera parte, creo que resulta:
![]()
No estoy segura de estar bien.
1 respuesta
Respuesta de Valero Angel Serrano Mercadal
1