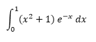
Resolver el siguiente ejercicio de calculo integral

La indicación dice que hay que resolver el siguiente problema usando la aplicación de métodos de integración y después dice que usando la aplicación de integrales definidas hay que resolver la misma integral pero según el intervalo dado.

1 respuesta

Respuesta
1

·

·

¡Hola Andrea!

Resolveremos la integral por partes, aplicándolo dos veces:

$$\begin{align}&\text{La fórmula es:}\\&\int u\;dv=uv-\int{v\;du}\\&\\&\\&\int(x^2+1)e^{-x}dx=\\&\\&u=x^2+1\qquad du =2x\\&dv=e^{-x}dx\qquad v=-e^{-x}\\&\\&=-(x^2+1)e^{-x}+\int 2xe^{-x}dx=\\&\\&u=2x\qquad \qquad du = 2 \,dx\\&dv=e^{-x}dx\qquad v=-e^{-x}\\&\\&=-(x^2+1)e^{-x}-2xe^{-x}+\int 2{e^{-x}}\,dx=\\&\\&-(x^2+1)e^{-x}-2xe^{-x}-2e^{-x}+C=\\&\\&(-x^2-1-2x-2)e^{-x}+C=\\&\\&-(x^2+2x+3)e^{-x}+C\\&\\&\text{Y ahora la aplicamos al intervalo [0,1]}\\&\text{por el segundo teorema fundamental del cálculo}\\&\text{La C la puedes poner o no, a tu gusto y del profe}\\&\\&\text{Llamamos }F(x)=-(x^2+2x+3)e^{-x}\\&\\&\text{entonces}\\&\\&\int_0^1(x^2+1)e^{-x} dx = F(1)-F(0)=\\&\\&-(1^2+2·1+3)e^{-1}-\left[-(0^2+2·0+3)e^{-0}  \right]=\\&\\&-(1+2+3)e^{-1}+3e^0=\\&\\&-6e^{-1}+3= 3-\frac 6e\\&\\&\end{align}$$

Y eso es todo, espero que te sirva y lo hayas enendido.

Saludos.

:

:

Añade tu respuesta

Haz clic para o

Más respuestas relacionadas