Integrales trigonométricas, problemas de calculo integral

Requiero de resolver este problema de calculo que dice como sigue:

Evalúa cada una de las siguientes integrales usando la sustitución trigonométrica

1 Respuesta

Respuesta

·

·

¡Hola Miguel Angel!

El cambio para arreglar eso es el de la tangente.

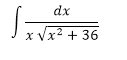
$$\begin{align}&\int \frac{dx}{x \sqrt{x^2+36}}=\\&\\&x=6tg\,t\\&\\&dx=6 (1+tg^2t)dt\\&\\&=\int \frac{6(1+tg^2t)}{6tg\,t \sqrt{36tg^2t+36}}dt=\\&\\&\int \frac{1+tg^2t}{tg\,t·6·\sqrt{tg^2t+1}}dt=\\&\\&\frac 16 \int \frac{\sqrt{1+tg^2t}}{tg\,t}dt=\\&\\&\text{Recordemos que } 1+tg^2t = sec^2t\\&\\&=\frac 16  \int \frac{ sec\, t }{tg\,t}dt = \frac 16 \int \frac{\frac 1{\cos t}}{\frac {sen t}{\cos t}}dt =\frac 16\int \frac{1}{sen\,t}dt\end{align}$$

¡No me lo puedo creer!

Hemos llegado a esa integral que es bastante difícil, ahora no tengo tiempo de hacerla.

Te dejo de momento esta otra que hice en tiempos y que es similar al 99.9º, con el ejemplo a lo mejor puedes hacerla tú, yo hasta dentro de muchas horas no estaré.

¿Cómo resolver la integral? Con procedimiento

Saludos.

:

:

Añade tu respuesta

Haz clic para o

Más respuestas relacionadas