Realizar ejemplo de integración en calculo

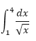
Requiero de resolver el siguiente ejemplo presentado en la imagen

1 respuesta

Respuesta
1

·

·

¡Hola Cristal!

Puedes resolverlo poniendo la función en forma exponencial o sin hacerlo ya que es una integral medio inmediata.

$$\begin{align}&\text{Como medio inmediata imagino que sabrás}\\&\\&(\sqrt x)' = \frac{1}{2 \sqrt x}\\&\\&entonces\\&\\&\int \frac {dx}{\sqrt x}=\\&\\&\text{divido dentro por 2 y fuera multiplico por 2}\\&\\&2·\int \frac{dx}{2 \sqrt x}= 2 \sqrt x\\&\\&\text{Y usando lenguaje exponencial es}\\&\\&\int \frac{dx}{\sqrt x}=\int x^{-\frac 12} dx = \frac{x^{-\frac 12+1}}{-\frac 12+1}=\frac {x^{\frac 12}}{\frac 12}=2x^{\frac 12}=2 \sqrt x\\&\\&\text{Y una vez conocida la indefinida calculamos la definida}\\&\\&\int_1^4 \frac{dx}{\sqrt x}= 2 \sqrt x\bigg|_1^4= 2(\sqrt 4-\sqrt 1)= 2(2-1)=2·1=2\end{align}$$

:

:

Añade tu respuesta

Haz clic para o

Más respuestas relacionadas