Solucionar el siguiente ejerció de calculo
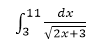
Resolver el siguiente ejerció de calculo el cual trata de integrales, se requiere de obtener la integral definida del ejercicio de abajo. Introducir la descripción del proceso para encontrar el resultado
Inciso c)

1 respuesta
Respuesta de Valero Angel Serrano Mercadal
1