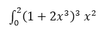
Realizar el siguiente problema de calculo integral, Integrales definidas e indefinidas
Resolver el siguiente problema del tema: Integrales definidas e indefinidas describir a su vez, de ser posible, si la presente integral es definida o indefinida y por que o como se diferencian generalmente una y otra, para poder identificarlas.

1 respuesta
Respuesta de Valero Angel Serrano Mercadal
1