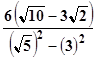
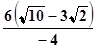
¿Podrían desarrollarme el resultado de esta operación de racionalización?
6√2 en el numerador, partido de √5+3
1 respuesta
Respuesta de Luis Alberto Candio Salcedo
1



