Hallar dominio y rango de estas dos funciones:

Son estas:

Los necesito con el procedimiento.

1 respuesta

Respuesta
1

·

·

¡Hola Sararozo!

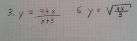
3.  y=(9+x)/(x+3)

El dominio en este tipo de funciones donde el dominio por separado de cada una es todo R es todo R salvo los puntos donde el denominador se hace cero

x+3 = 0

x= -3

Dom f = R - {-3}

El rango es el dominio de la función inversa

$$\begin{align}&y = \frac{9+x}{x+3}\\&\\&\text{Suponiendo }x\neq -3\text{ podemos dar este paso}\\&\\&(x+3)y = 9+x\\&\\&xy+3y = 9 +x\\&\\&xy-x = 9 -3y\\&\\&x(y-1)=9-3y\\&\\&x=\frac{9-3y}{y-1}\end{align}$$

Y el rango de esta función es todo R salvo y=1, luego

Rango f = R - {1}

·

4) El dominio de una ráiz cuadrada son los vlaores de x que hacen no negativo el radicando

y=sqrt(4x/3)

debe ser

4x/3 >= 0

4x >=0

x >=0

Dom f = [0, +infinito)

El dominio es todo no negativo ya que una raíz cuadrada es siempre no negativa. Vemos que el 0 está en el dominio ya que

f(0) = sqrt(4·0/3) = sqrt(0) = 0

Y vemos que en el infinito el límite es infinito. Como es una función continua toma todos los valores intermedios

Rango f = [0, +infinito)

Añade tu respuesta

Haz clic para o

Más respuestas relacionadas