Antes que todo me presento, mi nombre es Alan Romero y es un placer brindarte mi ayuda.
En este foro se realiza una pregunta por cuestión hermana, es decir debes de formular dos preguntas.
Por esta ocasión de ayudare con el primero.
Iniciamos:
Teoria:
La suma de Riemann sirve para calcular el valor de una integral definida, es decir, el área bajo una curva, este método es muy útil cuando no es posible utilizar el Teorema fundamental del cálculo. Estas sumas toman su nombre del matemático alemán Bernhard Riemann.
1 Ejercicio:
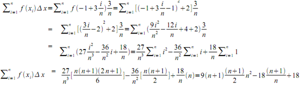
Se divide [-1, 2]:

La enésima suma de Riemann es:

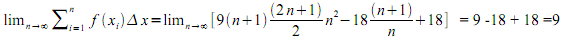
El área de la suma de Riemann:

Fuentes consultadas: http://wwwcursocalculointegral.blogspot.mx/
Esto ha sido todo mi estimada, si esta respuesta ayudo a resolver tu duda no olvides valorarla para que tenga la confianza de seguir respondiendo tus preguntas.
En la última línea primer sumando, el n^2 no va en el numerador, debe ir en el denominador. Saludos. - Valero Angel Serrano Mercadal
Ok entendí, pero en la segunda parte donde por es cuadrada con valores de 0 a 3, el procedimiento es igual pero me da valores para x0, x1, x2... como funciona es ese caso - Brenda Reyes
Hola Brenda. Ya te dijo Alan que hay que mandar un solo ejercicio por pregunta y es algo que comparto desde hace tres años, el primero me lo pegué haciendo todo lo que pedían hasta que acabé harto. Por eso si quieres hacer una pregunta de otro ejercicio tendrías que mandar una pregunta nueva a TodoExpertos. - Valero Angel Serrano Mercadal
Hola Brenda, formula una nueva cuestión hermana, para que Valero y yo, te proporcionamos la resolución del segundo ejercicio, espero que Valero colabore con este ya que confío más en sus respuestas, es un hombre con mucho más experiencia. - Anónimo