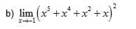
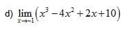
¿Ejercicio una partícula se mueve Una partícula se mueve a lo largo de una recta de acuerdo con la ecuación?
![]()
- La ecuación de la velocidad.
- Su velocidad cuando t= 2 seg.
- ¿Cuándo es la velocidad igual a cero?
- La ecuación de la aceleración.
1 Respuesta
Respuesta





