Como hallar las raices de esta derivada:
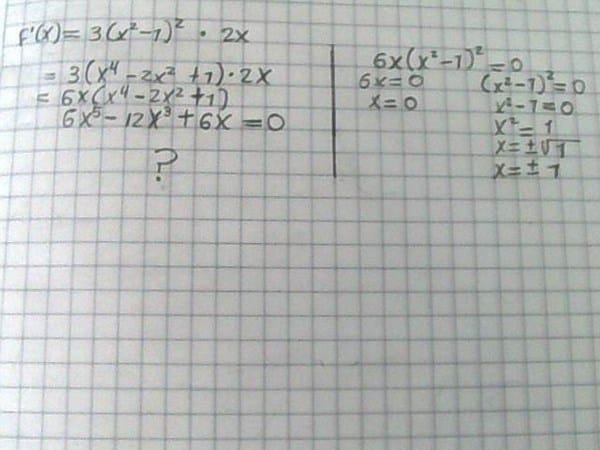
Tengo que hallar las raices de esta derivada: f'(x)= 3(x^2 - 1)^2 * 2x, bueno si yo resuelvo todo esto me da una ecuaciòn de 5º grado y es como complicado hallar las raices, pero si hago esto: 6x (x^2-1)^2 = 6x=0 y (x^2-1)^2 =0 y hallo las raices, ¿este procedimiento es vàlido? Muchas gracias.

1 respuesta
Respuesta de Valero Angel Serrano Mercadal
1