Duda en cuanto a cambio de orden integración
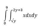
Me dan hallar en cambio de integración la integral doble de :

yo halle mi región lo cual me quedo de esta manera:

y mi inversión quedo de ello debo plantear el cambio de inversión

mantengo mi duda si halle mal el cambio de integración

Espero me ayude gracias. Saludos.
1 respuesta
Respuesta de Valero Angel Serrano Mercadal
1