¿Cuál es la función de elasticidad precio de la demanda, e indique el tipo de elasticidad si el precio es de $5?
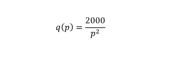
La demanda de uno de sus productos está dada por la función

Determina la función de elasticidad precio de la demanda, e indique el tipo de elasticidad si el precio es de $5.
¿Cuál es la función de elasticidad precio de la demanda, e indique el tipo de elasticidad si el precio es de $5?
1 Respuesta
Respuesta de Valero Angel Serrano Mercadal
7
Porque da -4000/q^3. Tengo esa duda. Saludos - Tabata Real
Hola profesor, se que ya se lo preguntaron pero podría explicar más detalladamente la derivación que preguntó Tabata, la verdad no le entiendo, gracias! - Miguel Vazquez
Ya hice la derivada con todo detalle Miguel - Valero Angel Serrano Mercadal