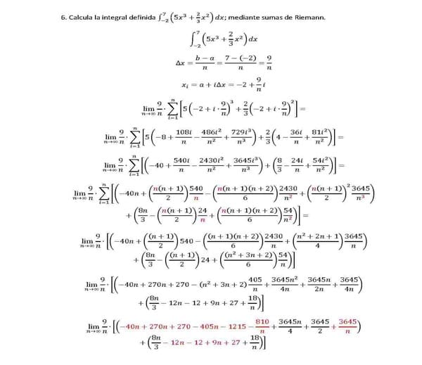
Calcular integral definida (Podrían revisarme el siguiente ejercicio porque no encuentro el error)
He revisado este ejercicio y no encuentro donde me equivoqué, creo que el concepto es correcto pero debo tener mal alguna operación. Gracias


1 respuesta
Respuesta de Valero Angel Serrano Mercadal
1