Por favor ayúdeme con este ejercicio(ESTADÍSTICA) gracias.
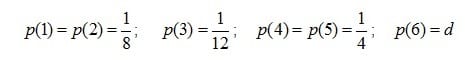
Sea X, la variable aleatoria que describe el lanzamiento de un dado cargado. La distribución de probabilidad de X está dado por:


Respuesta de antares18
1 respuesta más de otro experto
Respuesta de Valero Angel Serrano Mercadal
1
Por favor, limítate a contestar aquello que sepas seguro. Con tu matemática intuitiva no estás ayudando sino confundiendo a los usuarios. Tu integral de ayer es lo más esperténtico que he visto en mi vida, lo de la función de distribución de hoy una muestra de desconocimiento completo.Saludos - Valero Angel Serrano Mercadal